Darbo informacija

Atsisiųsti darbą Paklausti

Kauno oro uosto finansinė analizė

9.5 (3 atsiliepimai)

Detali informacija

Kategorija: Finansai , Referatai
Lygis: Universitetinis
Failo tipas: DOCX failas
Apimtis: 32 psl., (4042 ž.)
Vertinimas:
9.5 (3 atsiliepimai)
Šaltiniai: Yra

Ištrauka

TURINYS
ĮVADAS 2
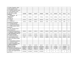
1.BALANSO ANALIZĖS 4
1.1.Balanso vertikali analizė 4
1.2.Balanso horizontalioji analizė 9
2.PELNO (NUOSTOLIŲ) ATASKAITOS ANALIZĖ 14
2.1.I ketvirtis. Pelno (nuostolių) ataskaitos analizė 14
2.2.II ketvirtis. Pelno (nuostolių) ataskaitos analizė 15
2.3.III ketvirtis. Pelno (nuostolių) ataskaitos analizė 16
3.SANTYKINIŲ RODIKLIŲ ANALIZĖ 18
3.1.I ketvirčio santykiniai rodikliai 18
3.1.1.Pelningumo rodikliai 18
3.1.2.Veiklos efektyvumo (apyvartumo) rodikliai 18
3.1.3.Likvidumo (mokumo) rodikliai 19
3.1.4.Įsiskolinimo rodikliai 20
3.2.II ketvirčio santykiniai rodikliai 20
3.2.1.Pelningumo rodikliai 20
3.2.2.Veiklos efektyvumo (apyvartumo) rodikliai 21
3.2.3. Likvidumo (mokumo) rodikliai 22
3.2.4. Įsiskolinimo rodikliai 22
3.3.III ketvirčio santykiniai rodikliai 23
3.3.1.Pelningumo rodikliai 23
3.3.2.Veiklos efektyvumo (apyvartumo) rodikliai 23
3.3.3. Likvidumo (mokumo) rodikliai 24
3.3.4. Įsiskolinimo rodikliai 25
IŠVADOS 31
NAUDOTA LITERATŪRA 32
PRIEDAS 33

ĮVADAS
Tarptautinis Kauno oro uostas, tai civilinis oro uostas, atidarytas 1988 m. liepos 1 d.
sovietinei armijai priklausiusioje raketų bazės teritorijoje. Tai yra Karmėlavos gyvenvietėje,
13 km į šiaurės rytus nuo Kauno. 1996 m. oro uostas tapo Tarptautinės oro uostų tarybos (ACI)
nariu ir nuo tų pačių metų dalyvauja asociacijos „Lietuvos oro uostai“ veikloje. Šiandiena tai
modernus oro uostas, kuriame  įrengti nauji inžineriniai tinklai, automobilių stovėjimo aikštelės,
nutiestas naujas magistralinis riedėjimo takas ir išplėstas orlaivių personas bei įrengta moderni
šviesų signalinė sistema.
Ilgą laiką Kauno oro uosto specializacija buvo krovinių aptarnavimas. Reguliarius
keleivių pervežimus vykdė vienintelė Aviakompanija Lietuva, kuri per metus aptarnaudavo apie
20 tūkst. keleivių. Mažėjant krovinių srautui, buvo ieškoma būdų, kaip pritraukti ne tik krovinių
vežėjus, bet ir tapti patraukliu oro uostu keleiviams. Lietuvos aviacijos rinkoje atradus pigių
skrydžių nišą, oro uosto strateginė veikla buvo nukreipta į šio tipo aviakompanijų pritraukimą.
2005 m. rugsėjo 22 d. skrydžius į Londoną pradėjo didžiausia Europoje žemų sąnaudų oro
bendrovė Ryanair, gruodžio 1 d. į Varšuvą – Wizz Air. Kauno oro uostas tapo sparčiausiai
augančiu Lietuvos oro uostu.
2009 m. oro uosto užimama rinkos dalis keleivių aptarnavimo srityje sudarė apie 25
proc., o šiuo metu Kauno oro uostas yra antras pagal dydį keleivinis oro uostas Lietuvoje. 
Darbo tikslas:
Atlikti Kauno oro uosto finansinę analizę
Darbo tikslui pasiekti reikia įgyvendinti šiuos uždavinius:
Atlikti balanso vertikaliąją ir horizontaliąją analizę;
Atlikti vertikaliąją ir horizontaliąją pelno (nuostolių) ataskaitos analizę;
Paskaičiuoti pelningumo, veiklos efektyvumo, likvidumo ir įsiskolinimo rodiklius;
Pateikti analizių išvadas ir rezultatus pavaizduoti grafiškai;

Ne tai, ko ieškai?

Mūsų mokslo darbų bazėje yra daugybė įvairių mokslo darbų, todėl tikrai atrasi sau tinkamą!

Atsiliepimai apie mus