Darbo informacija

Atsisiųsti darbą Paklausti

Finansinė įmonės analizė

9.1 (3 atsiliepimai)

Detali informacija

Kategorija: Finansai , Kursiniai darbai
Lygis: Universitetinis
Failo tipas: DOCX failas
Apimtis: 16 psl., (2732 ž.)
Vertinimas:
9.1 (3 atsiliepimai)
Šaltiniai: Yra

Ištrauka

Finansinė įmonės analizė
Kursinis

Turinys
Įvadas 3
Įmonės horizontali ir vertikali finansinių ataskaitų analizė 4
Įmonės balanso vertikali ir horizontali analizė 6
Santykinių rodiklių analizė pagal nagrinėjamus rodiklių grupes 10
Bankroto silpnybių vertinimas 14
Įmonės veiklos pobūdis 15
Individualus klausimas. Kokios yra įmonės plėtimosi galimybės ir perspektyvos? 15

Įvadas
Finansų analizė rinkos ekonomikos sąlygomis yra mikroekonomikos mokslo šaka,
apibendrinanti praktikoje vykstančius finansinės veiklos procesus, jų dėsningumus. Finansų analizė
susijusi su tam tikros ūkinės veiklos prognozavimu, planavimu, apskaita ir kontrole. Gavus
ekonominę informaciją iš tyrimo subjekto funkcinių padalinių (atsakingų asmenų) ir pasitelkus
finansų analizės metodus bei būdus, siekiama objektyviai įvertinti tyrimo subjekto finansinę veiklą
ir būklę, kad galima būtų įvertinti anksčiau priimtus sprendimus bei priimti perspektyvinius
valdymo sprendimus.
Darbo tikslas: atlikti įmonės 2010-2012 metų finansinę analizę.
Darbo uždaviniai:
1.Atlikti pelno (nuostolių) ataskaitos horizontalią ir vertikalią analizes.
2.Atlikti įmonės balanso ataskaitos horizontalią ir vertikalią analizes.
3.Išanalizuoti pelningumo rodiklius.
4.Išanalizuoti ilgalaikio ir trumpalaikio mokumo rodiklius.
5.Atlikti bankroto silpnybių diagnostinę analizę.
6.Pateikti įmonės veiklos pobūdį.
Darbo metodai: finansinių ataskaitų analizė.

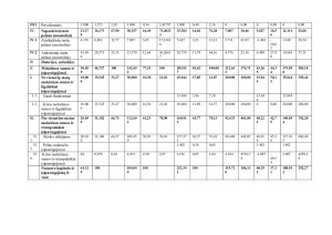
Įmonės horizontali ir vertikali finansinių ataskaitų analizė
Pelno ir nuostolio ataskaitos horizontalioji analizė leidžia vienus duomenis lyginti su praėjusio laikotarpio duomenimis, o vertikali
analizė atliekama kiekvieną rodiklį lyginant su bendruoju baziniu rodikliu, o gautas dydis – lyginamasis svoris išreiškiamas procentais.

Ne tai, ko ieškai?

Mūsų mokslo darbų bazėje yra daugybė įvairių mokslo darbų, todėl tikrai atrasi sau tinkamą!

Atsiliepimai apie mus