Darbo informacija

Atsisiųsti darbą Paklausti

Aprašomoji statistika

9 (2 atsiliepimai)

Detali informacija

Kategorija: Matematika , Savarankiški darbai
Lygis: Universitetinis
Failo tipas: DOCX failas
Apimtis: 13 psl., (1905 ž.)
Vertinimas:
9 (2 atsiliepimai)
Šaltiniai: Yra

Ištrauka

APRAŠOMOJI STATISTIKA
MATEMATIKOS SAVARANKIŠKAS DARBAS

Turinys
Įvadas__________________________________________________________________________3
Matematinės statistikos pagrindinių skaitinių charakteristikų skaičiavimas__________________4
Remiantis diskretine duomenų lentele (žr. lentelę nr. 3)______________________________________8
Remiantis intervaline duomenų lentele (žr. lentelę nr. 4)_____________________________________8
Grafiškai pavaizduoti matematinės statistikos duomenys_________________________________9
Duomenų pasiskirstymo ir asimetrijos analizė_________________________________________11
Išvados________________________________________________________________________11
Remiantis diskretine duomenų lentele____________________________________________________11
Remiantis intervaline duomenų lentele___________________________________________________11
Naudota literatūra ir kiti informaciniai šaltiniai_______________________________________12
Lentelių sąrašas
lentelė 1: Surinkti duomenys_________________________________________________________3
lentelė 2: Diskretinė variacinė lentelė__________________________________________________4
lentelė 3: Diskretinė variacinė lentelė su dažniais________________________________________6
lentelė 4: Intervalinė lentelė_________________________________________________________6
Paveikslėlių sąrašas
pav. 1 remiantis diskretiniais duomenimis.........................................................................................10
pav. 2 remiantis intervaliniais duomenimis........................................................................................11

Įvadas
Registruotas nedarbas savivaldybėse 2024 metais
1. Šiame darbe analizuojami 2024 metų registruoto nedarbo rodikliai Lietuvos
savivaldybėse. Pirminė informacija paimta iš https://osp.stat.gov.lt/ svetainėje pateiktos statistikos.
Šie duomenys laikytini kiekybiniais, kuriuose aptariami užregistruotų bedarbių skaičius kiekvienoje
savivaldybėje. Matavimo vienetas asmenų skaičius.
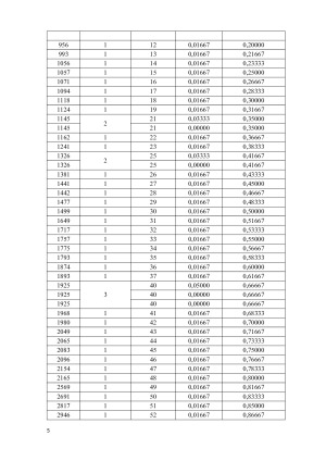
2. Darbe naudojami šie duomenys (žr. 1 lent.):
Registruotas nedarbas Lietuvos savivaldybėse 2024 metais.
Savivaldybės pav.Asmenys Savivaldybės pav.Asmenys Savivaldybės pav.Asmenys
Akmenės r. sav. 1145Klaipėdos r. sav.2691Šakių r. sav. 1162
Alytaus m. sav. 2946Kretingos r. sav.1757Šalčininkų r. sav.1968
Alytaus r. sav. 1381Kupiškio r. sav.851 Šiaulių m. sav. 4915
Anykščių r. sav.1442Lazdijų r. sav. 1124Šiaulių r. sav. 2154
Birštono sav. 148 Marijampolės sav.3013Šilalės r. sav. 1056
Biržų r. sav. 1441Mažeikių r. sav.3171Šilutės r. sav. 2096
Druskininkų sav.956 Molėtų r. sav. 825 Širvintų r. sav.805
Elektrėnų sav. 1145Neringos sav. 95 Skuodo r. sav. 589
Ignalinos r. sav.1057Pagėgių sav. 408 Švenčionių r. sav.1241
Jonavos r. sav. 2817Pakruojo r. sav.1925Tauragės r. sav.2065
Joniškio r. sav.993 Palangos m. sav. 1326Telšių r. sav. 1980
Jurbarko r. sav.1477Panevėžio m. sav.1925Trakų r. sav. 1874
Kaišiadorių r. sav.1499Panevėžio r. sav.1925Ukmergės r. sav.2049
Kalvarijos sav. 786 Pasvalio r. sav.1326Utenos r. sav. 1717
Kauno m. sav. 17798Plungės r. sav. 1793Varėnos r. sav. 1071
Kauno r. sav. 6108Prienų r. sav. 1118Vilkaviškio r. sav.2083
Kazlų Rūdos sav.737 Radviliškio r. sav.2165Vilniaus m. sav. 32616
Kėdainių r. sav.2569Raseinių r. sav.1893Vilniaus r. sav.6021
Kelmės r. sav. 1649Rietavo sav. 365 Visagino sav. 1094
Klaipėdos m. sav.8185Rokiškio r. sav.1775Zarasų r. sav. 948
lentelė 1: Surinkti duomenys
3. O šio darbo tikslas sudaryti tinkamą tiriamai problemai statistinį modelį, jį išanalizuoti,
interpretuoti atsakymus ir įvertinti informacinius šaltinius. Informaciniu šaltiniu pasirinkta
https://osp.stat.gov.lt/ svetainėje pateikta informacija apie registruotą nedarbą Lietuvos
savivaldybėse 2024 metais.
4. Darbo uždaviniai
Apskaičiuoti matematinės statistikos pagrindines skaitines charakteristikas.
Grafiškai pavaizduoti matematinės statistikos duomenis (linijinėje diagramoje,
skritulinėje diagramoje, stulpelinėje diagramoje).
Pateikti išvadas.

Ne tai, ko ieškai?

Mūsų mokslo darbų bazėje yra daugybė įvairių mokslo darbų, todėl tikrai atrasi sau tinkamą!

Atsiliepimai apie mus