Darbo informacija

Atsisiųsti darbą Paklausti

Vertybinių popierių rinkos teoriniai pagrindai ir raida Lietuvoje

9 (7 atsiliepimai)

Detali informacija

Kategorija: Finansai , Kursiniai darbai
Lygis: Mokyklinis
Failo tipas: DOC failas
Apimtis: 27 psl., (5538 ž.)
Vertinimas:
9 (7 atsiliepimai)
Šaltiniai: Yra

Ištrauka

TURINYS
ĮVADAS………………………………………………………………………………………. 4
1. VERTYBINIŲ POPIERIŲ RINKOS ATSIRADIMAS IR JOS VIETA
BENDROJE RINKO EKONOMIKOS SISTEMOJE………………………………….. 5
1.1. Vertybinių popierių rinkos padėtis tarp kitų rinkų……………………………. 5
1.2. Vertybinių popierių rinkos atsiradimo istorija…………………………………. 6
2. VERTYBINIŲ POPIERIŲ PASKIRTIS, JŲ RŪŠYS
IR SUTEIKIAMOS TEISĖS……………………………………………………………… 7
2.1. Akcijos…………………………………………………………………………….. 7
2.2. Obligacijos…………………………………………………………………………. 8
2.3. Vekseliai…………………………………………………………………………… 8
3. VERTYBINIŲ POPIERIŲ RINKOS STRUKTŪRA
IR JOS DALYVIAI………………………………………………………………………… 9
3.1. Vertybinių popierių rinkų rūšys…………………………………………………. 9
3.2. VP rinkos klasifikavimas pagal
naudojamus prekybos technologijos būdus…………………………………….. 12
3.3. VP rinkos dalyviai………………………………………………………………… 12
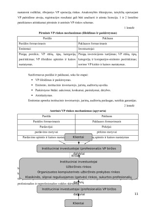
4. VERTYBINIŲ POPIERIŲ RINKA LIETUVOJE ……………………………………… 14
4.1. Nacionalinės Vertybinių Popierių Biržos įkūrimas ir kiti rinkos dalyviai………
4.2. Prekybos sistema………………………………………………………………….. 17
4.2.1. Centrinė rinka…………………………………………………………… 17
4.2.1.1. Prekyba akcijomis fiksuota kaina …………………………… 17
4.2.1.2. Nepertraukiama prekyba ……………………………………. 18
4.2.2. Prekyba skolos vertybiniais popieriais………………………………….. 19
4.2.3. Tiesioginiai sandoriai……………………………………………………. 19
4.2.4. Atsiskaitymai……………………………………………………………… 20
4.3. Vertybinių popierių registracija……………………………………………………. 21
4.4. Vertybinių popierių kotiravimas…………………………………………………… 22
4.5. Lietuvos Nacionalinės Vertybinių Popierių Biržos valdymas…………………….24
5. IŠVADOS……………………………………………………………………………………… 26
LITERATŪRA………………………………………………………………………………….. 27

ĮVADAS
Šis darbas - tai pačių pagrindinių vertybinių popierių rinkos principų, būdingų tiek pasaulio,
tiek Lietuvos rinkoms apžvalga. Kiekvienoje ekonomiškai išsivysčiusioje valstybėje egzistuoja
vertybinių popierių rinkos. Pagal šios rinkos būklę galima nustatyti ir pačios šalies ekonominę būklę.
Referato tikslas- panagrinėti vertybinių popierių rinkos bruožus, jos įtaką valstybės
ekonominiame gyvenime, tai pat pažvelgti, kas šioje srityje nuveikta Lietuvoje.
Šis darbas turi keturis pagrindinius skyrius:
Pirmajame skyriuje nagrinėjama vertybinių popierių rinkos atsiradimo ir vystymosi istorija, jos vietą bendroje rinkos ekonomikos sistemoje.
Antrajame skyriuje supažindinama su dažniausiai sutinkamų vertybiniais popieriais jų charakteristikomis.
Trečiajame darbo skyriuje aprašoma bendra vertybinių popierių rinkos struktūra, jos dalyvių funkcijas, bei tarpusavio sąveiką.
Ketvirtame skyriuje nagrinėjama Lietuvos patirtis- vertybinių popierių rinkos Lietuvoje
susiformavimas, rinkos dalyviai, jų funkcijos. Šioje dalyje taip pat aptariami kai kurie bendri
klausimai, susiję su prekyba vertybiniais popieriais

1. VERTYBINIŲ POPIERIŲ RINKOS ATSIRADIMAS IR JOS VIETA BENDROJE RINKOS EKONOMIKOS SISTEMOJE
1.1. Vertybinių popierių rinkos padėtis tarp kitų rinkų
Užsienio ekonomistai įvairiai apibūdina vertybinių popierių rinkos sąvoką: iš dalies kaip
potencialių mainų sferą, kaip instituciją ar mechanizmą, suvedantį atskirų prekių ir paslaugų
pirkėjus( paklausos atstovus) ir pardavėjus(tiekėjus). Ši rinka skiriasi nuo visų kitų rinkų pirmiausia
savo preke, kuria prekiauja. Ta prekė - vertybiniai popieriai (VP). Taigi, VP cirkuliacija lemia rinkos
dalyvių sudėtį, jos vietos padėtį, funkcionavimo tvarką, reguliavimo taisykles ir t.t.
Labai svarbu susieti VP rinką su tokiomis rinkų rūšimis kaip kapitalo rinka, finansų rinka,
pinigų rinka ir t.t. Tradiciškai šiose rinkose ir prasideda piniginių išteklių judėjimas. Tarptautinėje
praktikoje priimtoje terminologijoje: finansų rinka = pinigų rinka + kapitalo rinka. Pinigų rinkoje
vyksta trumpalaikių - iki vienerių metų santaupų, kapitalo rinkoje - vidutinių ir ilgalaikių (daugiau
nei vienerių metų) santaupų judėjimai. VP rinka yra tiek pinigų rinkos, tiek kapitalo rinkos
segmentas, apimantis bankų kreditų visumą, piniginių išteklių paskirstymą per draudimo sferą, firmų
vidaus kreditus ir t.. VP rinka yra būtent tas mechanizmas, kuris ekonomikoje paskirsto pinigines
santaupas. Pakankamai svarbi yra VP rinkos sąveika su biudžetu ir kreditų rinka. Biudžetas, kreditų
rinka ir VP rinka ne tik papildo vienas kitą, bet ir konkuruoja vienas su kitu, ir labai priklauso vienas
nuo kito. Pvz., biudžeto didinimas, mokesčių augimas neišvengiamai ir lygiomis sąlygomis nulems
piniginių išteklių, visuomenei ir ūkiui, sumažėjimą ir susiaurins bankų kreditų ir VP rinkas.

Dažnai susiduriame su kitokiu VP rinkos pavadinimu - “fondų rinka”. Reiktų pabrėžti, kad
sąvokos sutampa ir gali būti vartojamos kaip sinonimai.
1.2. Vertybinių popierių rinkos atsiradimo istorija
Vertybinių popierių sąvoka buvo žinoma jau nuo vėlyvųjų viduramžių. Tuomet, didžiųjų
geografinių atradimų laikotarpiu, atsivėrė plačios erdvės tarptautinei prekybai....

Ne tai, ko ieškai?

Mūsų mokslo darbų bazėje yra daugybė įvairių mokslo darbų, todėl tikrai atrasi sau tinkamą!

Atsiliepimai apie mus