Darbo informacija

Atsisiųsti darbą Paklausti

UAB „VONIOS ĮRANGA“ 2017 M. PLANUOJAMOS GAMINTI PRODUKCIJOS PELNINGUMO PROGNOZĖ

9.9 (7 atsiliepimai)

Detali informacija

Kategorija: Apskaita , Referatai
Lygis: Universitetinis
Failo tipas: DOCX failas
Apimtis: 26 psl., (3538 ž.)
Vertinimas:
9.9 (7 atsiliepimai)
Šaltiniai: Yra

Ištrauka

UAB „VONIOS ĮRANGA“ 2017 M. PLANUOJAMOS GAMINTI PRODUKCIJOS PELNINGUMO PROGNOZĖ

TURINYS
ĮVADAS...............................................................................................................................................3
1. PRAKTINĖ TIRIAMOJI DALIS....................................................................................................4
1.1. Planuojamas gaminti gaminių skaičius.....................................................................................4
1.2. Pagrindinių ir pagalbinių darbininkų skaičius...........................................................................5
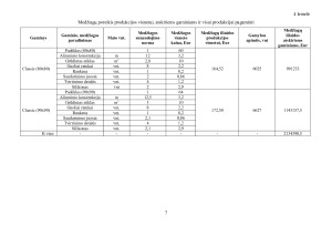
1.3. Medžiagų poreikis atskiriems gaminiams ir visai produkcijai..................................................5
1.4. Medžiagų išlaidos......................................................................................................................6
1.5. Įkainiai, pagrindinių darbininkų darbo užmokestis ir soc. draudimo įmokos...........................8
1.6. Atskirų gaminių, visos planuojamos pagaminti produkcijos ir vieno gaminio tiesiogines gamybos išlaidas...............................................................................................................................9
1.7. Administracijos darbuotojų ir pagalbinių darbininkų darbo užmokestis ir soc. draudimo įmokos............................................................................................................................................10
1.8. Bendros darbo apmokėjimo išlaidos.......................................................................................11
1.9. Vieno darbuotojo ir vieno pagrindinio darbininko vidutinis mėnesinis darbo užmokestis.....12
1.10. Elektros energijos poreikis ir išlaidos gamybinių įrenginių varikliams varyti......................12
1.11. Ilgalaikio turto nusidevėjimas ir amortizacija.......................................................................13
1.12. Įmonės netiesioginės gamybos išlaidos.................................................................................14
1.13. Atskirų gaminių ir vieno gaminio netiesioginės gamybos išlaidos.......................................15
1.14. Atskirų gaminių, visos produkcijos ir gaminio gamybinė savikaina....................................16
1.15. Įmonės veiklos sąnaudos.......................................................................................................17
1.16. Atskirų gaminių ir vieno gaminio veiklos sąnaudos.............................................................18
1.17. Atskirų gaminių, visos produkcijos ir kiekvieno gaminio komercinė savikaina..................19
1.18. Gaminių pardavimo kaina.....................................................................................................20
1.19. Planuojamos pardavimo pajamas..........................................................................................21
1.20. Planuojamos parduoti produkcijos gamybinė savikaina.......................................................21
1.21. Įmonės bendrasis ir grynasis pelnas......................................................................................22
1.22. Bendrasis ir grynasis pardavimo pelningumas......................................................................23
1.23. Nenuostolingo pardavimo vertinė išraiška............................................................................23
IŠVADOS...........................................................................................................................................25

ĮVADAS
Temos aktualumas. Verslas - konkreti ekonominė veikla, kurios pagrindinis tikslas –
gauti pelną. Verslas uždirba veiklai reikalingus pinigus, kad išlaikytu save. Verslą organizuoja
įmonės, bendrovės bendrijos, individualios įmonės ir t.t Kiekvienas fizinis ar juridinis asmuo
versdamasis verslu, privalo domėtis ekonominiais pasikeitimais, analizuoti įmonės veiklą bei jos
valdymą. Tik žinodamas įmonės ekonominius rodiklius verslininkas gali priimti sprendimus arba
atlikt tam tikrus pakeitimus, kad įmonė veiktų pelningai. Šiandieninėje visuomenėje naujam
verslininkui atsiranda vis daugiau pavojų, didelė konkurencija, baimė bankruotot itt. Prekių ir
paslaugų rinka yra pilna vienodų ar bent panašių produktų, todėl šiandiena sėkmė patirs tas
verslininkas kuris ateis į rinką su originalią įdėją. Verslininko užduotis yra patenkinti vartotojų
poreikius, bet taip pat ir įgyvendinti savo interesus. Kiekvienas verslininkas siekia turėdamas kuo
mažesnes išlaidas, savo gaminį ar paslaugą parduodi kuo didesne kaina ir gauti pelną.
Šiame darbe gilinsimės į įmonės veiklos ekonominius rodiklius, kurie pateikti užduočių
lape ir atliksime įmonės UAB „Vonios įranga“ veiklos prognozę 2017-tiems metams.
Darbo tikslas – Atlikti įmonės UAB „Vonios įranga“ ekonominius skaičiavimus ir juos įvertinti.
Darbo uždaviniai:
1.Apskaičiuoti įmonės veiklos rodiklius;
2.Apskaičiuotus rodiklius pateikti lentelėse;
3.Nustatyti ar įmonės veikla yra pelninga.
Darbo struktūra:
1.Titulinis puslapis.
2.Turinys.
3.Įvadas.
4.Praktinė–tiriamoji dalis.
5.Išvados ir siūlymai.
6.Literatūra.
7.Išvados.

Ne tai, ko ieškai?

Mūsų mokslo darbų bazėje yra daugybė įvairių mokslo darbų, todėl tikrai atrasi sau tinkamą!

Atsiliepimai apie mus