Darbo informacija

Atsisiųsti darbą Paklausti

Kainodara, kainų nustatymo metodai

9.1 (7 atsiliepimai)

Detali informacija

Kategorija: Rinkodara , Referatai
Lygis: Universitetinis
Failo tipas: DOCX failas
Apimtis: 21 psl., (3028 ž.)
Vertinimas:
9.1 (7 atsiliepimai)
Šaltiniai: Yra

Ištrauka

Kainodara, kainų nustatymo metodai

TURINYS
ĮVADAS 4
1.KAINODARA 5
1.1Kainodaros esmė 5
1.2Kainodaros tikslai 5
2.KAINODAROS ORGANIZAVIMAS 7
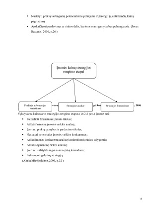
2.1Kainodaros strategijos 7
2.1.1Kainų strategijos rengimo etapai 8
3.KAINODAROS VEIKSNIŲ SISTEMA 10
3.1Kainų lygio formavimosi veiksniai 10
3.2Produkto kainos formavimą veikiantys veiksniai 10
4.KAINŲ NUSTATYMO METODAI 12
4.1Kainos nustatymas kaštų pagrindu 12
4.2Kainos nustatymas vertės pagrindu 13
4.2.1Nenuostolingumo metodas 13
4.2.2Kainos nustatymas pusiausvyros būdu 14
4.2.3Kainos nustatymas orientuojantis i paklausa 14
4.2.4Rinkos sąlygų įvertinimas kainodaroje 15
4.3Paslaugų kainos 16
4.4Galutinę produkto kainą lemiantys veiksniai 17
5.DAŽNIAUSIAI ĮSIGYJAMŲ VARTOJIMO PREKIŲ IR PASLAUGŲ KAINŲ POKYČIAI 2012 M. RUGSĖJO MĖN..19
IŠVADOS 21
LITERATŪRA 22

ĮVADAS
Kaina yra labai svarbus įmonės ekonominis rodiklis, kuris yra priemonė įmonės tikslams
pasiekti. Teisinga kainodaros metodika ir protinga taktika, nuosekliai įgyvendinama ir gerai pagrįsta
kainodaros strategija, yra būtinos, kad įmonė rinkos sąlygomis galėtų sėkmingai veikti.
Mūsų darbo tikslas susipažinti su įmonėje vykdoma kainų politika bei kainų nustatymu, t.y., kainodara.
Darbe išsikeliame tokius darbo uždavinius:
1.Susipažinti su kainodaros esme ir tiksliais;
2.Apžvelgti kainodaros organizavimo procesą įmonėje, bei kainodaros veiksnių sistemą;
3.Išanalizuoti kainos nustatymo metodus;
4.Panagrinėti dažniausiai įsigyjamų prekių ir paslaugų kainų pokyčius 2012m. rugsėjo mėn.

1.KAINODARA
1.1Kainodaros esmė
Kainų nustatymo veikla įmonėje vadinama kainodara. Vadovavimas kainų nustatymo
veiklai yra kainų politika. Kainų politika - tai priemonių, būdų ir sprendimų visuma, palaikanti kainas,
kurios užtikrintų prekių bei paslaugų realizavimą ir pelno didėjimą. Kainų nustatymo politika įmonėje
apima pagrindinius principus ir taisykles, kurias naudojant siekiama gauti maksimalų pelną ir
garantuoti prekių konkurencingumą rinkoje.
Problema, su kuria susiduria ir sprendžia visos įmonės- klientų praradimas, nustačius per
dideles prekių ir paslaugų kainas, kita vertus, jei kainos bus pernelyg mažos, bus prarasta dalis pajamų.
Todėl kainų politikos esmė yra nustatyti tokias kainas, kurios neleistų prarasti klientų ir patirti
nuostolių, bei būtų įmanoma sėkmingai konkuruoti ir spręsti kilusius specifinius rinkodaros klausimus.
Prieš pradėdama spręsti kainodaros klausimus įmonė turi apsispręsti, kokios rinkos yra
perspektyvios, kuo įmonė išsiskiria, kas yra tikslinis jos produktų vartotojas. (Algita Miečinskienė, 2009, p.14 )
1.2Kainodaros tikslai
Prieš pradėdami gaminti kokią nors prekę, kiekviena įmonė pirmiausia turi nuspręsti
kokių tikslų padės pasiekti konkreti prekė parduodama už tam tikrą kainą (žr. pav. 1.1).
1.1 pav.Kainodaros tikslai ( sudaryta autorių pagal V. Pranulio, A. Pajuodžio, S. Urbonavičiaus, R. Virvilaitės
knygą “Marketingas” 2008 p. 244 ).

Ne tai, ko ieškai?

Mūsų mokslo darbų bazėje yra daugybė įvairių mokslo darbų, todėl tikrai atrasi sau tinkamą!

Atsiliepimai apie mus