Darbo informacija

Atsisiųsti darbą Paklausti

GYVENTOJŲ PAJAMŲ IR PAVELDĖTO TURTO MOKESČIŲ ANALIZĖ

9.2 (3 atsiliepimai)

Detali informacija

Kategorija: Finansai , Referatai
Lygis: Universitetinis
Failo tipas: DOC failas
Apimtis: 12 psl., (2062 ž.)
Vertinimas:
9.2 (3 atsiliepimai)
Šaltiniai: Yra

Ištrauka

SAVARANKIŠKAS DARBAS
GYVENTOJŲ PAJAMŲ IR PAVELDĖTO TURTO MOKESČIŲ ANALIZĖ

ĮVADAS
Nuo seniausių laikų žinomas svarbiausias finansinis šaltinis, duodantis lėšų atlikti įvairias -
apsaugos, gamybines ir komercinės veiklos, socialinės plėtros (švietimo, mokslo, meno),
administravimo ir pan. – funkcijas yra mokesčiai. Minėtas ir kitas funkcijas per parlamentą ir
valdymo institucijas vykdo bet kurios civilizuotos valstybės vyriausybė. Mokesčiai yra ne tik
valstybės pajamų šaltinis, bet ir galingas įrankis jos rankose. Valstybės mokesčių politika tiesiogiai
veikia ne tik pajamų perskirstymą, bet ir finansinę ūkio subjektų padėtį, skatina ar neskatina
nacionalinės ekonomikos augimą. Priimdama atitinkamus mokesčių įstatymus, valstybė gali skatinti
krašto ekonomikos spartesnį augimą arba stagnaciją bei smukimą, kovoti su infliacija, nedarbu ir pan.
Šiuo metu Lietuvos mokesčių sistemą sudaro daugiau kaip 20 mokesčių. Kaip ir kitose
daugiau ar mažiau išsivysčiusiose šalyse, tai - mokestis už aplinkos teršimą; pajamų mokestis;
žemės mokestis; konsulinis mokestis; žyminis mokestis; paveldimo turto mokestis; privalomojo
sveikatos draudimo įmokos; įmokos į Garantinį fondą; valstybės rinkliava; loterijų ir azartinių
lošimų mokestis; bei kiti mokesčiai. Tiesioginiai ir netiesioginiai, mokami tiek fizinių, tiek
juridinių asmenų. Šių mokesčių įplaukos patenka į nacionalinį (valstybės bei savivaldybių)
biudžetą, Valstybinio socialinio draudimo ir Privalomojo sveikatos draudimo fondų biudžetus,
Garantinį fondą.
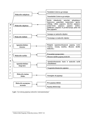
Šio darbo tikslas: išnagrinėti gyventojų pajamų ir paveldėto turto mokesčius pagal
apmokestinimo instrumentarijų. Toliau pateikiama šių mokesčių trumpa istorinė raida,
instrumentarijai (1,2 pav) , ir jų analizė.

1.GYVENTOJŲ PAJAMŲ MOKESTIS
1.1 Istorinė raida
19 – 20 a. sandūroje pasauliniame mokesčių sistemos formavimo procese apmokestinimo
„ viršūne“ buvo pripažintas pajamų mokestis, kuris valstybėse formavosi įvairiomis ekonominėmis,
socialinėmis ir politinėmis sąlygomis.
Lietuvoje darbo pajamų mokestis pradėtas taikyti 1932 m. liepos 1 dieną. Darbo pajamoms
buvo taikomas egzistencinis minimumas (30 – 200 litų), kuris priklausė nuo gyvenamosios vietos ir
vaikų skaičiaus šeimoje. Šiam mokesčiui buvo nustatytas progresinis tarifas : žemiausias – 12 %,
aukščiausias – 22%.( pajamoms, viršijančioms 20000 litų per metus). 1935 m. pastarasis tarifas
sumažinamas iki 18 %.
Atkūrus Lietuvos nepriklausomybę pajamų mokestis mokėtas pagal Lietuvos Respublikos
fizinių asmenų pajamų mokesčio laikinąjį įstatymą, priimtą 1990 m. spalio 5 dieną.
2002 m. liepos 2 d. Lietuvos respublikos Seimas priėmė Gyventojų pajamų mokesčio
įstatymą ( Nr. IX – 1007), kuris įsigaliojo nuo 2003 m. sausio 1 dienos.

Ne tai, ko ieškai?

Mūsų mokslo darbų bazėje yra daugybė įvairių mokslo darbų, todėl tikrai atrasi sau tinkamą!

Panašūs darbai

Atsiliepimai apie mus