Darbo informacija

Atsisiųsti darbą Paklausti

Bedarbių skaičiaus kitimas Lietuvoje (2)

9.5 (7 atsiliepimai)

Detali informacija

Kategorija: Ekonomika , Referatai
Lygis: Universitetinis
Failo tipas: DOCX failas
Apimtis: 22 psl., (2916 ž.)
Vertinimas:
9.5 (7 atsiliepimai)
Šaltiniai: Yra

Ištrauka

Bedarbių skaičiaus kitimas Lietuvoje (1998 – 2017 m.)
INDIVIDUALUS DARBAS

Ekonometrija

Turinys
Įvadas 4
1.Probleminės srities aprašas 5
2.Preliminari stebinių analizė 11
3.Ekonometrinio modelio sudarymas 15
4.Ekonometrinio modelio patikimumo nustatymas 17
5.Prognozavimas 19
Išvados 21
Literatūros šaltiniai 22

Įvadas
Nedarbas yra svarbi ekonominė ir socialinė problema kiekvienai šaliai. Bedarbystės plitimas
sukelia daug socialinių, demografinių, kriminogeninių bei psichologinių problemų. Sumažėja šeimos
disponuojamas pajamų dydis, darbo neturintys asmenys daug stresuoja, jaučia nervinę įtampą,
padažnėja alkoholizmo atvejų. Šios problemos sprendimas yra susijęs su šalies ekonomikos
išsivystymo lygiu ir gamybos augimu. Lietuvai perėjus iš planinės ekonomikos link rinkos
ekonomikos reikėjo pertvarkyti šalies ūkio struktūrą, ieškoti naujų rinkų bei vykdyti privatizavimą. Tai
paveikė šalies gamybą, paslaugų plėtrą ir t.t. Tai taip pat padarė įtaką ir didėjančiam bedarbių skaičiui.
Žmonėm pasidarė sunku susirasti darbą - darbo pasiūla nebeatitiko darbo paklausos, taip pat, didelės
dalis specialybių tapo nereikalingos, o jas turintys žmonės nespėjo arba nesugebėjo persikvalifikuoti
naujai darbo rinkai. Atsiradus darbo rinkai, atsirado ir nedarbas, kuris suprantamas kaip darbo pasiūlos
ir paklausos disbalansas. Todėl viena iš pagrindinių ūkio stabilizavimo politikos užduočių yra kiek
įmanoma mažinti nedarbą. Norint kontroliuoti, prognozuoti nedarbą bei išvengti jo sukeliamų
pasekmių, reikia suprasti, kodėl ir kaip kinta bedarbių skaičius, kokie veiksniai tam daro įtaką bei
kokio stiprumo ji yra. Siekiant visa tai ištirti, šiame darbe bus naudojamos teorinės ir praktinės
ekonometrijos žinios.
Darbo tikslas: sukurti geriausią ir tinkamiausią prognozavimui ekonometrinį modelį, kuriuo
naudojantis būti galima atlikti kuo tikslesnę bedarbių skaičiaus Lietuvoje prognozę.
Tyrimo objektas: Bedarbių skaičiaus kitimas Lietuvoje 1998 – 2017 metais.
Darbo instrumentai, metodai: Darbui atlikti naudojama Eviews 10 programa, o darbo
įforminimui - Microsoft Office „Word“ ir „Excel“ programomis. Naudojami išskirčių ieškojimo,
liekamųjų paklaidų įvertinimo, ekonometrinio regresijos modelio – daugialypės tiesinės regresijos
(DTR) – sudarymo ir įvertinimo metodai.
Darbo uždaviniai:
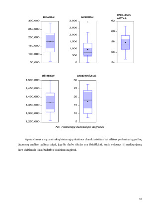
Pateikti duomenis ir jų aprašymą, charakteristikas, grafikus. Aprašyti juos, stengiantis
įžvelgti pagrindinę problemą;
Atlikti preliminarią stebinių analizę bei pateikti koreliacinę matricą;
Sudaryti ekonometrinį modelį bei jį įvertinti, pagrįsti modelio pasirinkimą. Nustatyti
modelio patikimumą;
Atlikti prognozavimą;

Ne tai, ko ieškai?

Mūsų mokslo darbų bazėje yra daugybė įvairių mokslo darbų, todėl tikrai atrasi sau tinkamą!

Atsiliepimai apie mus